El objetivo de este estudio fue evaluar: (a) la capacidad discriminante de los parámetros ventilatorios para identificar pacientes con insuficiencia cardiaca con fracción de eyección preservada (IC-FEp) con o sin dinapenia, (b) la relación entre la fuerza de prensión máxima (FPM) y los parámetros ventilatorios, y (c) las diferencias entre los grupos de pacientes con IC-FEp con y sin dinapenia.
Material y métodoSe realizó un estudio transversal utilizando la FPM y los parámetros ventilatorios de voluntarios del estudio FUNNEL+. Los pacientes con IC-FEp se clasificaron en dos grupos según la FPM: con dinapenia y sin dinapenia. El análisis de datos incluyó la prueba de chi cuadrado, la prueba de rangos con signo de Wilcoxon, el coeficiente de correlación de Spearman, el análisis de la curva ROC y el área bajo la curva ROC.
ResultadosSe agruparon 77 mediciones de pacientes con IC-FEp en función de la presencia (n=29) o ausencia (n=48) de dinapenia. La capacidad discriminante del volumen espiratorio forzado en el primer segundo (FEV1), la capacidad vital forzada (FVC) y el flujo espiratorio máximo (PEF) fue aceptable para identificar dinapenia. Se encontraron correlaciones significativas entre los parámetros ventilatorios y la FPM. Además, se observaron diferencias significativas entre grupos en variables demográficas, clínicas y ventilatorias.
ConclusionesEstos resultados preliminares apuntan al potencial de los parámetros ventilatorios para la detección temprana de la dinapenia en la IC-FEp, si bien se requieren estudios adicionales que los confirmen.
We aimed to evaluate: (a) the discriminatory capacity of ventilatory parameters to differentiate between patients with heart failure with preserved ejection fraction (HFpEF) with or without dynapenia, (b) the relationship between maximal grip strength (MGS) and ventilatory parameters, and (c) the differences between groups of HFpEF patients with and without dynapenia.
Materials and methodsA cross-sectional study using MGS and ventilatory parameters from volunteers in the FUNNEL+ study was conducted. Patients with HFpEF were categorised using the MGS into two groups: dynapenia and no dynapenia. Data analysis included the Chi-square test, the Wilcoxon signed-rank test, Spearman's correlation coefficient, the ROC curve analysis, and the area under the ROC curve.
Results77 measurements of HFpEF patients were grouped based on the presence (n=29) or no (n=48) of dynapenia. The discriminatory capacity of forced expiratory volume in one second (FEV1), forced vital capacity (FVC), and peak expiratory flow (PEF) was acceptable for identifying dynapenia. Significant correlations were found between ventilatory parameters and MGS. Furthermore, significant differences were observed in grouped patients in terms of demographic, clinical and ventilatory variables.
ConclusionsThese preliminary results suggest that ventilatory parameters may have potential for the early detection of dynapenia in HFpEF, although further studies are required to confirm these findings.
Las elevadas tasas de morbimortalidad asociadas a la insuficiencia cardiaca (IC) constituyen un importante desafío para los sistemas de salud pública debido a los costes asociados1. La fragilidad es una de las comorbilidades más prevalentes, afectando al 40-80% de los pacientes con IC. La fragilidad no solo aumenta el riesgo de IC, sino que también se asocia con un mayor riesgo de mortalidad por cualquier causa, resultados significativamente peores tras los reingresos por IC descompensada y, en consecuencia, hospitalizaciones frecuentes2,3. Por lo tanto, existe la necesidad de formular recomendaciones específicas que aborden esta comorbilidad en el contexto de la IC2,4.
La fragilidad es una condición prevalente en pacientes con insuficiencia cardiaca con fracción de eyección preservada (IC-FEp), afectando hasta al 90% de los pacientes debido a su mayor incidencia en personas de edad avanzada3. La IC-FEp contribuye a la fragilidad mediante su asociación con síntomas de IC, como la reducción de la capacidad funcional, disnea, fatiga y pérdida de apetito. Estos factores pueden acelerar la pérdida de masa muscular y la debilidad, conduciendo a sarcopenia, un componente clave de la fragilidad5. La sarcopenia es igualmente prevalente en los distintos fenotipos de IC; sin embargo, un mayor porcentaje de pacientes con IC-FEp presentan baja fuerza de prensión manual y reducción de la velocidad de la marcha en comparación con aquellos con insuficiencia cardiaca con fracción de eyección reducida (IC-FEr). Estas condiciones, conocidas como dinapenia, se asocian con un peor pronóstico en pacientes con IC-FEp6,7. De hecho, la dinapenia se reconoce como un término más apropiado para describir la pérdida de fuerza y función muscular relacionada con la edad. No obstante, con frecuencia se sustituye por sarcopenia debido a su mayor reconocimiento entre clínicos e investigadores8.
La dinapenia en pacientes con IC-FEp es un factor de riesgo modificable si se identifica precozmente. Herramientas consideradas patrón oro, como la fuerza de prensión máxima (FPM) y sus puntos de corte, se utilizan como pruebas discriminativas para determinar si un paciente presenta dinapenia8. Estudios previos han evaluado la capacidad discriminativa de parámetros como las presiones inspiratorias máximas (PImax) y espiratorias máximas (PEmax) para identificar sarcopenia y dinapenia en diferentes condiciones9–11. Sin embargo, la capacidad de los parámetros ventilatorios para diferenciar entre pacientes con IC-FEp con y sin dinapenia aún no ha sido investigada, ni tampoco las posibles diferencias en su capacidad ventilatoria. Además, la investigación sobre parámetros ventilatorios y de fuerza en pacientes con IC-FEp es más limitada que la existente en pacientes con IC-FEr12. Por ello, el objetivo principal de este estudio es evaluar la capacidad discriminativa de los parámetros ventilatorios para diferenciar entre pacientes con y sin dinapenia tanto en la muestra total como en un subgrupo basado en sexo, IMC, edad y capacidad funcional. Asimismo, se pretende estudiar la relación entre la FPM y los parámetros ventilatorios, así como comparar los parámetros ventilatorios, la capacidad funcional y los resultados clínicos entre pacientes con IC-FEp con y sin dinapenia.
Materiales y métodosDiseño y participantesEste estudio transversal incluyó datos de participantes del estudio FUNNEL+. El protocolo del ensayo FUNNEL+13 ha sido publicado e incluido en la base de datos ClinicalTrials (NCT05393362). Los pacientes fueron reclutados en la unidad de insuficiencia cardiaca del Hospital Regional Universitario de Málaga (España), bajo el departamento de medicina interna, desde abril de 2023 hasta noviembre de 2024. Los criterios de inclusión y exclusión del estudio FUNNEL+ se detallan en el protocolo del ensayo13. El comité de ética provincial de Málaga aprobó el ensayo (2198-N-22). Para informar los resultados de este estudio se siguió la lista de verificación STROBE 1 (Strengthening the Reporting of Observational Studies in Epidemiology).
ResultadosTodos los resultados se registraron el mismo día de la evaluación, siguiendo el orden en que se introducen a continuación. Todas las evaluaciones fueron realizadas por investigadores entrenados.
DinapeniaLa FPM se evaluó utilizando el dinamómetro hidráulico manual Jamar® (modelo SH5001, Lafayette Instrument, Lafayette, EE.UU.). Los participantes se sentaron en una silla de altura estándar con el codo cerca del cuerpo, flexionado a 90°, y el antebrazo en posición neutra durante la evaluación de la FPM. Se indicó a los participantes que sujetaran el dinamómetro con la mayor fuerza posible14. Cada participante realizó tres intentos por mano, con un minuto de descanso entre cada intento. El valor más alto obtenido se utilizó para el análisis.
La dinapenia se definió como una FPM inferior a 30kg en hombres y 20kg en mujeres8,15.
Parámetros ventilatoriosPresiones respiratorias máximasLa PImax y la PEmax se evaluaron utilizando un manómetro digital portátil, MicroRPM® (Micromedical, Kent, Reino Unido). Las curvas presión-tiempo se visualizaron mediante el software PUMA® (Vyaire Medical GmbH, Hoechberg, Alemania) conectado al manómetro. Las mediciones se realizaron de acuerdo con las guías de la European Respiratory Society (ERS)16. Se indicó a los pacientes que inhalaran o soplaran tan fuerte y rápido como fuera posible y que intentaran mantener la presión a lo largo del tiempo. Las presiones debían permanecer estables durante 3-5 segundos, y la presión en meseta mantenida durante un segundo se registró como PImax o PEmax. Se seleccionó el valor más alto de las tres maniobras válidas, con una variabilidad inferior a 10cmH2O entre ellas17.
Bucle flujo-volumen máximoLas variables de espirometría forzada se registraron con el espirómetro Spiro USB® (Micro Medical, Kent, Reino Unido) conectado al Spirometry PC Software® (Vyaire Medical GmbH, Hoechberg, Alemania) de acuerdo con los estándares de la American Thoracic Society (ATS) y la ERS18,19. Las variables de espirometría forzada incluyeron el volumen espiratorio forzado en el primer segundo (FEV1), la capacidad vital forzada (FVC), la relación FEV1/FVC, el flujo espiratorio máximo (PEF), el volumen inspiratorio forzado en el primer segundo (FIV1), la capacidad vital inspiratoria forzada (FIVC) y el flujo inspiratorio máximo (PIF).
Capacidad funcionalLa capacidad funcional se evaluó mediante la prueba de marcha de seis minutos (6MWT). Se indicó a los pacientes que caminaran lo más rápido posible. Se registró la distancia (m) recorrida por los pacientes en 6 minutos. Las pruebas se realizaron siguiendo las recomendaciones de seguridad establecidas20.
Resultados demográficosPara describir las variables demográficas de la muestra se recogieron la edad en años, el sexo y el índice de masa corporal (IMC). Un IMC entre 18,5 y 24,9kg/m2 se consideró peso normal, entre 25,0 y 29,9kg/m2 se consideró sobrepeso y un IMC≥30,0kg/m2 se consideró obesidad.
Resultados clínicosSe registraron variables clínicas, incluyendo la clase funcional de la New York Heart Association (NYHA), la puntuación de la escala de disnea modificada del Medical Research Council (mMRC), las comorbilidades, la polifarmacia y el porcentaje de medicación prescrita.
Gestión y análisis de datosEl análisis se realizó utilizando 77 mediciones del estudio FUNNEL+, tratadas como datos transversales para maximizar la información disponible. Estas mediciones correspondieron a 36 pacientes ambulatorios evaluados en tres momentos diferentes: al inicio (n=36), a los 3 meses (n=24) y a los 6 meses (n=17).
Para el análisis estadístico, se consideró estadísticamente significativo un valor de p<0,05. El software estadístico Jamovi, versión 2.6.2, se utilizó para realizar todos los análisis.
Análisis descriptivos e inferencialesLa prueba de Shapiro-Wilk evaluó la normalidad de la distribución. La heterogeneidad de varianzas se evaluó mediante la prueba de Levene y se consideró significativa con un valor de p<0,15. Las variables continuas se presentaron como mediana y percentiles 25 y 75 (p25, p75), mientras que los datos discretos se presentaron como frecuencias y porcentajes. La prueba de rangos con signo de Wilcoxon se utilizó para comparar resultados cuantitativos entre pacientes con y sin dinapenia, mientras que la prueba chi cuadrado de Pearson se utilizó para resultados cualitativos21,22.
CorrelacionesEl coeficiente de correlación de Spearman (rho) se utilizó para estudiar la relación entre la FPM y los parámetros ventilatorios. Además, un coeficiente de correlación de 0,30≤rho≤0,50, 0,50≤ rho≤0,70 y rho≥0,70 se consideró débil, moderado y fuerte, respectivamente22.
Análisis discriminantesLa capacidad discriminante de los parámetros ventilatorios se evaluó mediante el análisis de curvas ROC (Receiver Operating Characteristic)23,24. El cálculo a priori del tamaño muestral para el análisis ROC, realizado con GPower 3.1.9.4 (University of Düsseldorf, Düsseldorf, Alemania), determinó que se requería una muestra de 34 sujetos para alcanzar una potencia estadística del 80%, basada en una AUC esperada de 0,70 y una proporción de grupos de 1:125. La prueba de DeLong se utilizó para comparar las AUC de los modelos y determinar la significación estadística26. Los puntos de corte para los parámetros ventilatorios se determinaron utilizando el índice de Youden27.
Se realizaron 9 curvas ROC para evaluar la capacidad de los parámetros ventilatorios para discriminar entre pacientes con o sin dinapenia tanto de forma global (1) como dentro de subgrupos específicos: pacientes ≥80 años (2), pacientes <80 años (3), mujeres (4), hombres (5), pacientes con IMC≥30,0kg/m2 (6), pacientes con IMC <30,0kg/m2 (7), pacientes que caminaron ≥300m en el 6MWT (8) y pacientes que caminaron <300m en el 6MWT (9). Considerando el uso de medidas repetidas dentro de los individuos, los análisis ROC de la muestra total se complementaron con análisis de sensibilidad de los pacientes en la evaluación basal. Solo se reportaron los parámetros ventilatorios con capacidad discriminante significativa.
ResultadosLa tabla 1 presenta los análisis descriptivos e inferenciales.
Diferencias entre pacientes con y sin dinapenia
| Dinapenia (n=29) | Sin dinapenia (n=48) | p-valor | |
|---|---|---|---|
| Demografía | |||
| Edad en años, mediana (p25, p75) | 82,0 (76,0, 86,0) | 76,5 (74,0, 79,0) | <0,001 |
| Sexo | |||
| Femenino, n (%) | 17 (58,6%) | 15 (31,3%) | 0,018 |
| Masculino, n (%) | 12 (41,4%) | 33 (68,7%) | |
| IMC en kg/m2, mediana (p25, p75) | 28,2 (26,2, 36,9) | 28,7 (26,5, 32,4) | 0,347 |
| Peso normal, n (%) | 4 (13,8%) | 9 (18,8%) | 0,797 |
| Sobrepeso, n (%) | 11 (37,9%) | 19 (39,6%) | |
| Obesidad, n (%) | 14 (48,3%) | 20 (41,6%) | |
| Clínica | |||
| NYHA | |||
| I, n (%) | 4 (13,8%) | 11 (22,9%) | 0,72 |
| II, n (%) | 19 (65,5%) | 27 (56,3%) | |
| III, n (%) | 6 (21,4%) | 10 (20,8%) | |
| Escala mMRC | |||
| 0, n (%) | 3 (10,7%) | 8 (16,7%) | 0,12 |
| 1, n (%) | 6 (21,4%) | 21 (43,8%) | |
| 2, n (%) | 14 (48,3%) | 15 (31,3%) | |
| 3, n (%) | 3 (10,7%) | 3 (6,3%) | |
| 4, n (%) | 3 (10,7%) | 1 (2,1%) | |
| Comorbilidades | |||
| Hipertensión, n (%) | 29 (100,0%) | 47 (98,7%) | 0,434 |
| DM, n (%) | 13 (44,8%) | 24 (50,0%) | 0,597 |
| Dislipidemias, n (%) | 20 (68,9%) | 27 (56,3%) | 0,315 |
| Fibrilación auricular, n (%) | 21 (72,4%) | 27 (56,3%) | 0,156 |
| Ictus, n (%) | 2 (6,8%) | 7 (14,6%) | 0,295 |
| EAP, n (%) | 5 (17,2%) | 12 (25,0%) | 0,426 |
| HVI, n (%) | 15 (51,7%) | 23 (47,9%) | 0,898 |
| HAP, n (%) | 13 (44,8%) | 11 (22,9%) | 0,054 |
| EPOC, n (%) | 12 (41,4%) | 17 (35,4%) | 0,601 |
| AOS, n (%) | 7 (24,1%) | 6 (12,5%) | 0,187 |
| ERC, n (%) | 14 (48,3%) | 29 (60,4%) | 0,299 |
| Polifarmacia en número de medicamentos por día, mediana (p25, p75) | 14,0 (12,0, 16,0) | 12,5 (11,0, 16,0) | 0,502 |
| Fármacos | |||
| Inhibidores de la ECA, n (%) | 14 (48,3%) | 3 (6,2%) | <0,001 |
| ARA-II, n (%) | 6 (20,6%) | 21 (43,7%) | 0,040 |
| Bloqueadores beta, n (%) | 22 (75,9%) | 34 (70,8%) | 0,631 |
| Sacubitril-valsartán, n (%) | 24 (82,3%) | 34 (70,8%) | 0,552 |
| Ivabradina, n (%) | 0 (0,0%) | 3 (6,2%) | 0,170 |
| Antagonistas del calcio, n (%) | 4 (13,8%) | 5 (10,4%) | 0,65 |
| Diuréticos de asa, n (%) | 2 (6,8%) | 19 (39,6%) | 0,002 |
| ARM, n (%) | 9 (31,0%) | 21 (43,8%) | 0,268 |
| Nitratos, n (%) | 3 (10,3%) | 16 (33,3%) | 0,023 |
| Ácido acetilsalicílico, n (%) | 4 (13,8%) | 14 (29,2%) | 0,122 |
| Agentes hipoglucemiantes, n (%) | 23 (79,3%) | 37 (77,1%) | 0,819 |
| Metformina, n (%) | 5 (17,2%) | 9 (18,8%) | 0,868 |
| iSGLT2, n (%) | 21 (72,4%) | 30 (62,5%) | 0,373 |
| GLP-1, n (%) | 2 (6,9%) | 10 (20,8%) | 0,102 |
| Insulina, n (%) | 3 (10,3%) | 8 (16,7%) | 0,442 |
| Parámetros ventilatorios | |||
| PImax en cmH2O, mediana (p25, p75) | 39,0 (31,0, 58,0) | 67,0 (46,0, 76,0) | 0,005 |
| PEmax en cmH2O, mediana (p25, p75) | 70,0 (49,0, 93,0) | 85,5 (69,8, 111,5) | 0,010 |
| FEV1 en l, mediana (p25, p75) | 1,06 (0,97, 1,41) | 1,79 (1,16, 2,16) | 0,001 |
| % pFEV1, mediana (p25, p75) | 64,5 (49,75, 79,0) | 69,0 (54,75, 77,25) | 0,702 |
| FVC en l, mediana (p25, p75) | 1,5 (1,29, 1,9) | 2,38 (1,12, 1,83) | <0,001 |
| % FVC, mediana (p25, p75) | 59,0 (49,75, 67,5) | 63,0 (52,0, 70,25) | 0,267 |
| PEF en l/min, mediana (p25, p75) | 188,0 (136,0, 230,0) | 261,5 (179,75, 370,75) | <0,001 |
| % pPEF, mediana (p25, p75) | 49,5 (40,75, 70,0) | 64,0 (53,0, 78,25) | 0,042 |
| FEV1/FVC en %, mediana (p25, p75) | 74,0 (70,0, 84,0) | 73,5 (69,0, 82,25) | 0,693 |
| FIV1 en l, mediana (p25, p75)a | 1,3 (1,1, 1,66) | 1,94 (1,52, 2,5) | 0,001 |
| FIVC en l, mediana (p25, p75)a | 1,37 (1,25, 1,8) | 2,22 (1,62, 2,83) | <0,001 |
| PIF en l/min, mediana (p25, p75)a | 108,5 (87,25, 155,25) | 163,0 (145,0, 216,0) | <0,001 |
| Parámetros funcionales | |||
| 6MWT en m, mediana (p25, p75) | 300,0 (258,25, 364,5) | 397,5 (330,75, 478,5) | <0,001 |
Los pacientes con y sin dinapenia difirieron significativamente en la edad (p<0,001). La distribución por sexo de los pacientes con y sin dinapenia también difirió significativamente (p=0,018), con un 58,6% de mujeres entre los pacientes con dinapenia y un 68,7% de hombres entre los pacientes sin dinapenia. Sin embargo, no se observaron diferencias significativas en el IMC entre los pacientes con y sin dinapenia (p>0,05).
Los resultados clínicos no difirieron significativamente entre los pacientes con IC-FEp con y sin dinapenia según la clasificación NYHA (p=0,72) y la escala mMRC (p=0,12). La hipertensión arterial pulmonar (HAP) fue más prevalente en los pacientes con dinapenia que en aquellos sin dinapenia (44,8% frente a 22,9%), aunque esta diferencia no fue significativa. La polifarmacia no difirió entre los grupos (p=0,502). Sin embargo, el uso de inhibidores de la ECA fue mayor en los pacientes con dinapenia (48,3%) que en aquellos sin dinapenia (6,2%) (p<0,001). Por el contrario, los pacientes sin dinapenia recibieron con mayor frecuencia ARA-II, diuréticos de asa y nitratos (43,7%, 39,6% y 33,3%, respectivamente) en comparación con aquellos con dinapenia (20,6%, 6,8% y 10,3%; p<0,05).
Se observó una reducción significativa de los valores de los parámetros ventilatorios en pacientes con IC-FEp con dinapenia en comparación con aquellos sin dinapenia, observándose en múltiples parámetros, incluidos PImax, PEmax, FEV1, FVC, PEF, p%PEF, FIV1, FIVC y PIF (p<0,05).
Los pacientes con IC-FEp y dinapenia caminaron menos metros en el 6MWT que los pacientes sin dinapenia (mediana 300m frente a 397m; p<0,001).
Se encontraron correlaciones significativas entre la FPM y los valores de PImax (rho=0,527), PEmax (rho=0,637), FEV1 (rho=0,626), FVC (rho=0,717), PEF (rho=0,64), FIV1 (rho=0,635), PIF (rho=0,501) y FIVC (rho=0,698).
La tabla 2 muestra el análisis discriminante de los parámetros ventilatorios para diferenciar entre pacientes con y sin dinapenia. El análisis de sensibilidad de la curva ROC global se presenta en el material adicional.
Análisis discriminatorios de los parámetros ventilatorios
| AUC | EE | IC95% | p-valor | |
|---|---|---|---|---|
| Dinapenia (n=29) frente a sin dinapenia (n=48) | ||||
| PImax en cmH2O | 0,694 | 0,063 | (0,570, 0,818) | 0,002 |
| PEmax en cmH2O | 0,676 | 0,067 | (0,545, 0,807) | 0,008 |
| FEV1 en l | 0,719 | 0,060 | (0,603, 0,836) | <0,001 |
| FVC en l | 0,770 | 0,055 | (0,663, 0,878) | <0,001 |
| PEF en l/min | 0,736 | 0,058 | (0,622, 0,850) | <0,001 |
| Pacientes ≥80 años | ||||
| Dinapenia (n=18) frente a sin dinapenia (n=8) | ||||
| PImax en cmH2O | 0,625 | 0,135 | (0,360, 0,890) | 0,355 |
| PEmax en cmH2O | 0,531 | 0,119 | (0,298, 0,764) | 0,793 |
| FEV1 en l | 0,552 | 0,137 | (0,179, 0,717) | 0,704 |
| FVC en l | 0,597 | 0,129 | (0,344, 0,851) | 0,452 |
| PEF en l/min | 0,597 | 0,126 | (0,350, 0,844) | 0,441 |
| Pacientes <80 años | ||||
| Dinapenia (n=11) frente a sin dinapenia (n=40) | ||||
| PImax en cmH2O | 0,726 | 0,087 | (0,556, 0,896) | 0,009 |
| PEmax en cmH2O | 0,781 | 0,093 | (0,598, 0,964) | 0,003 |
| FEV1 en l | 0,751 | 0,079 | (0,597, 0,906) | 0,001 |
| FVC en l | 0,803 | 0,071 | (0,665, 0,942) | <0,001 |
| PEF en l/min | 0,789 | 0,081 | (0,631, 0,947) | 0,001 |
| Mujeres | ||||
| Dinapenia (n=17) frente a sin dinapenia (n=15) | ||||
| PImax en cmH2O | 0,592 | 0,108 | (0,380, 0,804) | 0,394 |
| PEmax en cmH2O | 0,641 | 0,105 | (0,436, 0,846) | 0,177 |
| FEV1 en l | 0,557 | 0,107 | (0,347, 0,767) | 0,595 |
| FVC en l | 0,618 | 0,106 | (0,410, 0,825) | 0,267 |
| PEF en l/min | 0,653 | 0,100 | (0,457, 0,849) | 0,127 |
| Hombres | ||||
| Dinapenia (n=12) frente a sin dinapenia (n=33) | ||||
| PImax en cmH2O | 0,630 | 0,109 | (0,417, 0,843) | 0,231 |
| PEmax en cmH2O | 0,583 | 0,107 | (0,206, 0,627) | 0,246 |
| FEV1 en l | 0,755 | 0,088 | (0,583, 0,927) | 0,004 |
| FVC en l | 0,780 | 0,081 | (0,621, 0,939) | <0,001 |
| PEF en l/min | 0,726 | 0,090 | (0,551, 0,901) | 0,012 |
| IMC ≥30kg/m2 | ||||
| Dinapenia (n=14) frente a sin dinapenia (n=20) | ||||
| PImax en cmH2O | 0,714 | 0,090 | (0,538, 0,890) | 0,017 |
| PEmax en cmH2O | 0,639 | 0,104 | (0,436, 0,843) | 0,180 |
| FEV1 en l | 0,623 | 0,099 | (0,430, 0,816) | 0,123 |
| FVC en l | 0,704 | 0,093 | (0,521, 0,886) | 0,029 |
| PEF en l/min | 0,612 | 0,100 | (0,417, 0,808) | 0,260 |
| IMC <30kg/m2 | ||||
| Dinapenia (n=15) frente a sin dinapenia (n=28) | ||||
| PImax en cmH2O | 0,669 | 0,090 | (0,492, 0,846) | 0,061 |
| PEmax en cmH2O | 0,702 | 0,095 | (0,517, 0,888) | 0,032 |
| FEV1 en l | 0,765 | 0,082 | (0,605, 0,926) | 0,001 |
| FVC en l | 0,807 | 0,071 | (0,667, 0,947) | <0,001 |
| PEF en l/min | 0,798 | 0,077 | (0,647, 0,949) | <0,001 |
| 6MWT ≥300m | ||||
| Dinapenia (n=14) frente a sin dinapenia (n=39) | ||||
| PImax en cmH2O | 0,587 | 0,094 | (0,402, 0,772) | 0,356 |
| PEmax en cmH2O | 0,566 | 0,093 | (0,384, 0,748) | 0,478 |
| FEV1 en l | 0,737 | 0,081 | (0,578, 0,896) | 0,004 |
| FVC en l | 0,738 | 0,080 | (0,581, 0,895) | 0,003 |
| PEF en l/min | 0,699 | 0,083 | (0,536, 0,861) | 0,016 |
| 6MWT <300m | ||||
| Dinapenia (n=15) frente a sin dinapenia (n=9) | ||||
| PImax en cmH2O | 0,600 | 0,138 | (0,329, 0,871) | 0,469 |
| PEmax en cmH2O | 0,756 | 0,106 | (0,548, 0,963) | 0,016 |
| FEV1 en l | 0,548 | 0,133 | (0,288, 0,808) | 0,717 |
| FVC en l | 0,622 | 0,133 | (0,361, 0,882) | 0,357 |
| PEF en l/min | 0,681 | 0,113 | (0,460, 0,903) | 0,109 |
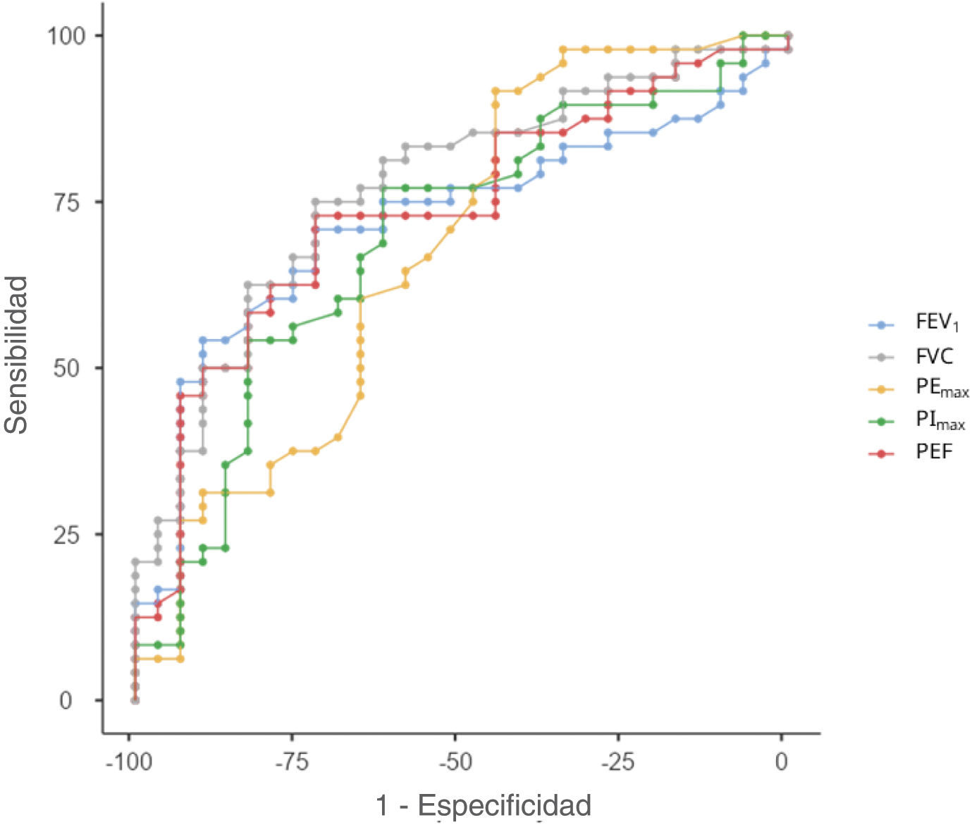
FEV1, FVC y PEF mostraron una capacidad discriminante aceptable para diferenciar entre pacientes con IC-FEp con y sin dinapenia (AUC>0,7, p<0,05; fig. 1), al igual que el análisis de sensibilidad (material adicional).
Ningún parámetro ventilatorio demostró una capacidad aceptable para discriminar pacientes mayores de 80 años con o sin dinapenia (AUC<0,70, p>0,05). Sin embargo, en pacientes menores de 80 años, PImax, PEmax, FEV1 y PEF mostraron una capacidad discriminante adecuada (AUC>0,7, p<0,05; fig. 2a). Además, la FVC mostró una capacidad discriminante excelente (AUC=0,803, p<0,001; fig. 2a).
Ninguno de los parámetros ventilatorios analizados fue capaz de discriminar entre mujeres con y sin dinapenia (AUC<0,70, p>0,05). En contraste, FEV1, FVC y PEF demostraron una capacidad discriminante adecuada en hombres (AUC>0,7; fig. 2b).
En los pacientes que caminaron <300m en el 6MWT, solo la PEmax mostró una capacidad discriminante adecuada (AUC=0,756, p=0,016). Sin embargo, FEV1 y FVC parecen demostrar una capacidad discriminante suficiente en pacientes que caminaron ≥300m en el 6MWT (AUC>0,70, p<0,05; fig. 2c).
La capacidad de PImax y FVC para diferenciar entre pacientes con y sin dinapenia en aquellos con IMC≥30kg/m2 se consideró aceptable (AUC>0,70, p<0,05; fig. 3a). En contraste, en pacientes con IMC<30kg/m2, la capacidad discriminante de PEmax, FEV1 y PEF fue razonable (AUC>0,70, p<0,05; fig. 3b), mientras que la FVC se consideró excelente (AUC=0,807, p<0,001; fig. 3b).
En conclusión, la mayor capacidad discriminante se observó con la FVC, mientras que PImax y PEmax no demostraron una capacidad discriminante adecuada para diferenciar entre pacientes con o sin dinapenia. Las asociaciones más fuertes se observaron entre la FPM y la FVC (rho=0,717), seguidas de la asociación entre la FPM con la FIVC (rho=0,698) y la PEmax (rho=0,637).
El análisis discriminante sobre el total de pacientes estableció puntos de corte para diferenciar entre pacientes con y sin dinapenia basados en los parámetros FEV1, FVC y PEF. El punto de corte para FEV1 fue de 1,7l, mostrando una sensibilidad del 54,17% y una especificidad del 89,66%. Para la FVC, el punto de corte identificado fue 1,85l, con valores de sensibilidad y especificidad del 75,0% y 72,41%, respectivamente. Finalmente, el punto de corte para el PEF se estableció en 214l/min, mostrando una sensibilidad del 72,92% y una especificidad del 72,41%. No se encontraron diferencias significativas entre las AUC (p>0,05).
DiscusiónHasta donde sabemos, este es el primer estudio que evalúa la capacidad discriminativa de los parámetros ventilatorios para diferenciar entre pacientes con IC-FEp con y sin dinapenia. Como principales hallazgos, (a) los parámetros ventilatorios FVC, FEV1 y PEF mostraron valores de AUC aceptables para identificar pacientes con IC-FEp con y sin dinapenia, con valores excelentes obtenidos en el análisis de pacientes <80 años y con un IMC <30,0kg/m2; (b) FVC, FIVC y PEF se correlacionan fuertemente con la FPM, y (c) los pacientes con dinapenia son de mayor edad, mujeres y presentan peor capacidad funcional que los pacientes sin dinapenia.
Hasta la fecha, no existen estudios comparables que hayan evaluado la capacidad discriminativa de los parámetros ventilatorios para la dinapenia en pacientes con IC-FEr. No obstante, la reducción de la capacidad ventilatoria28,29 y la relación entre la función respiratoria y el rendimiento del músculo esquelético han sido previamente investigadas a lo largo de los diferentes fenotipos de IC12. En pacientes con IC-FEp30, estudios previos han observado hallazgos similares, obteniendo una correlación moderada entre los valores de FPM y PImax. En comparación con pacientes con IC31, IC-FEr32, enfermedad pulmonar obstructiva crónica (EPOC)33,34 y adultos mayores de 65 años35, se han observado asociaciones más fuertes entre FPM y parámetros ventilatorios en pacientes con IC-FEp, especialmente en FVC, FEV1 y PImax. Esta asociación más fuerte puede ser consecuencia de la inflamación sistémica, la disfunción endotelial7,12,36 y la disminución de la capacidad ventilatoria28,29,37,38 observadas en pacientes con IC-FEp. Estudios futuros deberían investigar estos mecanismos fisiopatológicos y aclarar la interacción entre la función respiratoria y la función muscular periférica en pacientes con IC-FEp.
La coexistencia de IC-FEp y EPOC28 en nuestra muestra puede explicar parcialmente la falta de capacidad discriminativa de PImax y PEmax, un hallazgo también descrito en pacientes con EPOC9. A diferencia de nuestros resultados en IC-FEp, no se observaron diferencias en los parámetros de flujo entre pacientes con EPOC con y sin dinapenia9. Estudios previos también han descrito diferencias en los parámetros ventilatorios entre IC-FEr, IC-FEp y EPOC29, así como entre pacientes con IC-FEp con y sin EPOC concomitante28. En conjunto, esta observación subraya la importancia de considerar el estado de EPOC al interpretar la función ventilatoria en IC-FEp y pone de relieve la necesidad de investigaciones adicionales para aclarar su papel en el desarrollo de la dinapenia.
Una característica distintiva entre los pacientes con EPOC y los pacientes con IC-FEp es la elevada prevalencia de obesidad en la población con IC-FEp29. A la luz de ello, nuestro análisis por subgrupos según IMC mostró que PImax fue útil en pacientes con IMC≥30kg/m2, mientras que PEmax fue más informativo en aquellos con IMC<30kg/m2. Estas diferencias pueden reflejar las reducciones en los parámetros de presión respiratoria máxima observadas en la obesidad39,40, aunque la asociación entre las variables de función respiratoria y la obesidad en adultos mayores sigue siendo controvertida41. En la población anciana sana39,41,42, la reducción de FVC, FEV1 y PEF se ha asociado con la presencia de dinapenia, en concordancia con nuestros resultados en IC-FEp. Sin embargo, no se encontraron diferencias significativas en términos de sexo en adultos mayores de 70 años39,41 entre pacientes con y sin dinapenia, a diferencia de lo observado en IC-FEp, donde se aprecia una mayor proporción de mujeres de edad avanzada con dinapenia. En conjunto, las diferencias entre adultos mayores sanos y pacientes con IC-FEp ponen de manifiesto la importancia de realizar más investigaciones para comprender mejor el impacto de la obesidad y del sexo43,44 en la relación entre la función ventilatoria y la dinapenia en pacientes con IC-FEp.
En cuanto al tratamiento farmacológico, en nuestro estudio existe un mayor porcentaje de pacientes con IC-FEp con dinapenia que reciben inhibidores de la enzima convertidora de angiotensina que aquellos sin dinapenia. Dada la ausencia de recomendaciones farmacológicas sólidas para la IC-FEp2,4, estas diferencias probablemente estén determinadas por el juicio clínico45. Por el contrario, los antagonistas de los receptores de angiotensina II, los diuréticos de asa y los nitratos se prescribieron con mayor frecuencia en pacientes con IC-FEp sin dinapenia. El uso de nitratos podría reflejar una etiología isquémica, potencialmente asociada con mayor fuerza muscular7, aunque la relación entre el tratamiento farmacológico y la sarcopenia sigue siendo incierta4,45–48. En lo que respecta al tratamiento de la sarcopenia en la IC, únicamente la intervención mediante ejercicio ha demostrado una respuesta positiva4. Son necesarios estudios prospectivos para examinar el impacto de la medicación sobre la fuerza muscular y los resultados funcionales, así como la posible interacción con intervenciones de ejercicio en pacientes con IC-FEp.
Deben considerarse varias limitaciones al interpretar los resultados, ya que pueden afectar a la generalización y a la interpretación de los hallazgos. En primer lugar, se trata de un estudio unicéntrico, lo que limita la validez externa y la reproducibilidad de los resultados. En este sentido, pueden ser necesarios estudios multicéntricos con tamaños muestrales mayores para validar nuestros resultados. En segundo lugar, la distribución desigual de participantes entre grupos puede haber introducido sesgos, afectando potencialmente a su comparabilidad. A pesar del tamaño desigual de los grupos, el análisis de potencia post hoc confirmó que la potencia estadística fue adecuada para el análisis global, excepto para PEmax. Además, esta limitación subraya la importancia de investigar con mayor profundidad la prevalencia de la dinapenia en pacientes con IC-FEp, ya que podría aportar información valiosa para futuras investigaciones y para la práctica clínica. Por último, el análisis se basó en el número de mediciones y no en el número de pacientes, lo que podría conducir a una sobreestimación de los hallazgos debido a la presencia de medidas repetidas. Para mitigar esta limitación, realizamos análisis de sensibilidad para evaluar la robustez de los resultados. Los resultados resaltan el potencial de futuros estudios para investigar la relación entre los cambios en los parámetros ventilatorios (Δ) y los cambios en la FPM (ΔFPM) tras intervenciones de ejercicio.
ConclusionesEste estudio proporciona evidencia preliminar que respalda el posible papel de los parámetros ventilatorios en la identificación precoz y el manejo de la dinapenia en pacientes con IC-FEp. Entre los parámetros ventilatorios, la FVC demuestra la mayor capacidad discriminativa, mientras que FIVC y PEmax mostraron una fuerte correlación con la FPM. Los pacientes con IC-FEp con dinapenia presentaron parámetros ventilatorios reducidos, menor capacidad funcional y perfiles demográficos y clínicos distintivos. Estudios multicéntricos futuros que incluyan poblaciones más amplias y diversas serán esenciales para validar y ampliar estos hallazgos.
Consentimiento informadoTodos los participantes recibieron adecuadamente la información y firmaron los formularios de consentimiento informado.
Consideraciones éticasEl comité de ética provincial de Málaga aprobó el ensayo (2198-N-22).
Declaración sobre el uso de la IA generativa y de las tecnologías asistidas por la IA en el proceso de redacciónDurante la preparación de este manuscrito, se utilizaron herramientas de IA (Grammarly y ChatGPT) exclusivamente para ayudar a mejorar la claridad y la gramática del texto en su idioma original de entrega del manuscrito (inglés). Todas las contribuciones intelectuales pertenecen íntegramente a los autores.
FinanciaciónEl estudio «Effectiveness of a cardiac rehabilitation program on kinematic, structural, and physiological biomarkers in elderly patients with heart failure. FUNNEL+» fue financiado mediante una subvención competitiva del Gobierno de España, una beca de investigación sanitaria del Instituto de Salud Carlos III (ISCIII) y el Fondo de Investigación Sanitaria (FIS; exp. PI22/00315), y cofinanciado por la Unión Europea. El ISCIII no participó en el diseño del estudio, la recopilación de datos, el análisis, la interpretación ni en la redacción del informe. Esta investigación también fue financiada por la Universidad de Málaga mediante una beca predoctoral concedida a Celia García-Conejo. Financiación para acceso abierto: Universidad de Málaga/CBUA.
Conflicto de interesesNinguno.
Deseamos expresar nuestro más sincero agradecimiento a todos los participantes en este proyecto. Agradecemos especialmente al equipo de medicina interna del Hospital Regional Universitario de Málaga y a la Universidad de Málaga por su destacado apoyo y colaboración.










